Web Analytics Made Easy - Statcounter
how to calculate the molarity of an acid Calculate molarity of acid in titration

how to calculate the molarity of an acid Calculate molarity of acid in titration

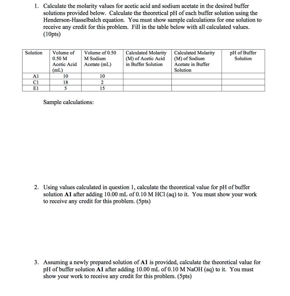
Solved calculate the molarity values for acetic acid and

If you are looking for Solved Calculate the molarity of the acid solution in Figure | Chegg.com you've visit to the right page. We have 35 Pics about Solved Calculate the molarity of the acid solution in Figure | Chegg.com like Molarity - Acid and Bases for Dummies!, Solved Calculate the molar concentration of the acid if | Chegg.com and also Solved Step 3. Calculate the molarity of the concentrated | Chegg.com. Here it is:

Solved Calculate The Molarity Of The Acid Solution In Figure | Chegg.com

Solved Calculate the molarity of the acid solution in Figure | Chegg.com www.chegg.com

acid solution molarity calculate transcribed text show ml naoh acetic titrated figure

Solved Calculate The Molar Concentration Of The Acid If | Chegg.com

Solved Calculate the molar concentration of the acid if | Chegg.com www.chegg.com

Solved Can You Please Show Me How To Calculate The Molarity | Chegg.com

Solved Can you please show me how to calculate the molarity | Chegg.com www.chegg.com

show calculate please me can molarity acid unknown

Solved: 7. Calculate The Molarity And The Molality Of Concentrated Of

Solved: 7. Calculate the molarity and the molality of concentrated of www.gauthmath.com

Solved Calculate The Molarity Of The Acid In The 3 Samples | Chegg.com

Solved Calculate the molarity of the acid in the 3 samples | Chegg.com www.chegg.com

Solved Part A Calculate The Molarity Of An Acetic Acid | Chegg.com

Solved Part A Calculate the molarity of an acetic acid | Chegg.com www.chegg.com

Calculate Molarity Of Acid In Titration

Calculate Molarity of Acid in Titration noel-kmclean.blogspot.com

Solved Calculate The Molarity Of An Acetic Acid Solution If | Chegg.com

Solved Calculate the molarity of an acetic acid solution if | Chegg.com www.chegg.com

Solved 3. Calculate The Molarity, Mol Number, Mass And | Chegg.com

Solved 3. Calculate the molarity, mol number, mass and | Chegg.com www.chegg.com

SOLVED: Calculate The Molarity Of An Acetic Acid Solution If 80.36 ML

SOLVED: Calculate the molarity of an acetic acid solution if 80.36 mL www.numerade.com

Solved Calculate The Molarity Of An Acetic Acid Solution If | Chegg.com

Solved Calculate the molarity of an acetic acid solution if | Chegg.com www.chegg.com

Solved Calculate The Molarity Of An Acetic Acid Solution If | Chegg.com

Solved Calculate the molarity of an acetic acid solution if | Chegg.com www.chegg.com

Solved Step 3. Calculate The Molarity Of The Concentrated | Chegg.com

Solved Step 3. Calculate the molarity of the concentrated | Chegg.com www.chegg.com

Solved Calculate The Molarity Of An Acetic Acid Solution If | Chegg.com

Solved Calculate the molarity of an acetic acid solution if | Chegg.com www.chegg.com

Solved Calculate The Molar Concentration Of The Acid If | Chegg.com

Solved Calculate the molar concentration of the acid if | Chegg.com www.chegg.com

Solved Calculate The Molarity Of An Acetic Acid Solution If | Chegg.com

Solved Calculate the molarity of an acetic acid solution if | Chegg.com www.chegg.com

Calculate Molarity Of Acid In Titration

Calculate Molarity of Acid in Titration noel-kmclean.blogspot.com

Solved Calculate The Molarity Of An Acetic Acid Solution If | Chegg.com

Solved Calculate the molarity of an acetic acid solution if | Chegg.com www.chegg.com

Solved Use An Acid-base Titration To Calculate The Molar | Chegg.com

Solved Use an acid-base titration to calculate the molar | Chegg.com www.chegg.com

Solved Calculate The Molar Concentration Of The Acid If | Chegg.com

Solved Calculate the molar concentration of the acid if | Chegg.com www.chegg.com

SOLVED: Calculate The Molarity (M) Of Nitric Acid If Its Concentration

SOLVED: Calculate the molarity (M) of nitric acid if its concentration www.numerade.com

Solved 1. Calculate Molarity Of Each Acid Solution2. | Chegg.com

Solved 1. Calculate molarity of each acid solution2. | Chegg.com www.chegg.com

Solved Question 3. Calculate The Molarity Of The Acetic Acid | Chegg.com

Solved Question 3. Calculate the molarity of the acetic acid | Chegg.com www.chegg.com

Solved 3. Calculate The Molarity Of The Acetic Acid In Your | Chegg.com

Solved 3. Calculate the molarity of the acetic acid in your | Chegg.com www.chegg.com

Calculate Molarity Of Acid In Titration

Calculate Molarity of Acid in Titration noel-kmclean.blogspot.com

Molarity - Acid And Bases For Dummies!

Molarity - Acid and Bases for Dummies! acidsandbasesfordummieschem.weebly.com

molarity concentration acid solution higher calculate concentrated alkali too can

Solved Calculate The Molarity Of The Acid In The 3 Samples | Chegg.com

Solved Calculate the molarity of the acid in the 3 samples | Chegg.com www.chegg.com

Solved How Do I Calculate Molarity Of Acetic Acid And | Chegg.com

Solved How do I calculate molarity of acetic acid and | Chegg.com www.chegg.com

calculate acetic molarity percent

Solved Calculate The Molarity Values For Acetic Acid And | Chegg.com

Solved Calculate the molarity values for acetic acid and | Chegg.com www.chegg.com

Solved Calculate The Molarity Of An Acetic Acid Solution If | Chegg.com

Solved Calculate the molarity of an acetic acid solution if | Chegg.com www.chegg.com

Solved Please Show All Steps- Calculate Molarity Of Acetic | Chegg.com

Solved Please show all steps- calculate molarity of acetic | Chegg.com www.chegg.com

Solved Laboratory Questions: Molar Mass Of A Solid Acid 1. | Chegg.com

Solved Laboratory Questions: Molar Mass of a Solid Acid 1. | Chegg.com www.chegg.com

Solved Laboratory Questions: Molar Mass Of A Solid Acid 1. | Chegg.com

Solved Laboratory Questions: Molar Mass of a Solid Acid 1. | Chegg.com www.chegg.com

SOLVED: 2. Calculate The Molarity Of Acetic Acid Liquid That Have A

SOLVED: 2. Calculate the molarity of Acetic Acid liquid that have a www.numerade.com

Solved How Do I Calculate Molarity Of Acetic Acid And | Chegg.com

Solved How do I calculate molarity of acetic acid and | Chegg.com www.chegg.com

acid calculate molarity acetic mass

Solved calculate the molarity of an acetic acid solution if. Solved part a calculate the molarity of an acetic acid. Solved: calculate the molarity (m) of nitric acid if its concentration