Web Analytics Made Easy - Statcounter
molarity of 900 g water Solved a) (6 pts) compute the molarity of pure water. that

molarity of 900 g water Solved a) (6 pts) compute the molarity of pure water. that

The molarity of pure water is:

If you are looking for The molar mass of normal water is....... as compared to heavy water you've visit to the right page. We have 35 Images about The molar mass of normal water is....... as compared to heavy water like molarity of 900 g of water is Related: Calculating Molarity : Solutions, The molarity of 900 gm of water is (1) 50 M (3) 5M (2) 55.5 M (4 and also WaterMolarity of pure water is 55.5 M. It is calculated as below..pdf. Here it is:

The Molar Mass Of Normal Water Is....... As Compared To Heavy Water

The molar mass of normal water is....... as compared to heavy water www.toppr.com

Sir , What Is The Molarity Of Pure Water If Its Density At Room

Sir , What is the molarity of pure water if its density at room www.meritnation.com

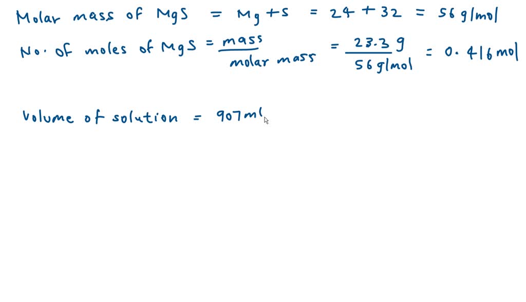
SOLVED: Calculate The Molarity Of 23.3 G Of MgS In 907 ML Of Sodium

SOLVED: Calculate the molarity of 23.3 g of MgS in 907 mL of sodium www.numerade.com

Solved What Is The Molarity Of A Solution Containing 50 G Of | Chegg.com

Solved What is the molarity of a solution containing 50 g of | Chegg.com www.chegg.com

Molarity Of Pure Water - THE PURE SOUL

Molarity of Pure Water - THE PURE SOUL thepuresoul.in

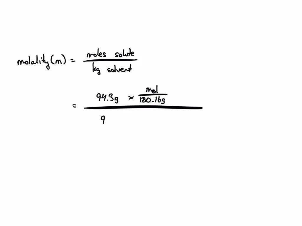
SOLVED: What Is The Molality Of A Solution With 94.3 G Of Glucose

SOLVED: What is the molality of a solution with 94.3 g of glucose www.numerade.com

What Is The Molality Of 900 Gms Water

what is the molality of 900 gms water byjus.com

Solved What Is The Molarity Of 2 G N N2O5 In 90 ML Of Water? | Chegg.com

Solved What is the molarity of 2 g N N2O5 in 90 mL of water? | Chegg.com www.chegg.com

Solved What Is The Molarity Of A Solution Made From 96.8 G | Chegg.com

Solved What is the molarity of a solution made from 96.8 g | Chegg.com www.chegg.com

SOLVED: Calculate The Molarity Of Pure Water. Density Of Pure Water Is

SOLVED: Calculate the molarity of pure water. Density of pure water is www.numerade.com

Molarity Of Pure Water Is | Filo

Molarity of pure water is | Filo askfilo.com

≈15. The Molarity Of 720 G Of Pure Water Is | Filo

≈15. The molarity of 720 g of pure water is | Filo askfilo.com

Calculate The Molality Of Water. Given Density Of Water =1gm/mL. | Filo

Calculate the molality of water. Given density of water =1gm/mL. | Filo askfilo.com

72. The Molarity Of Pure Water Is (density = 1g/cmº) • (1) 55.55 M (2

72. The molarity of pure water is (density = 1g/cmº) • (1) 55.55 M (2 www.toppr.com

Calculate The Molarity Of A Solution Containing 4g Of NaOH, 49% OFF

Calculate The Molarity Of A Solution Containing 4g Of NaOH, 49% OFF gbu-taganskij.ru

What Is The Molarity Of Pure Water? - Let's Find Out - Tfipost.com

What is The Molarity of Pure Water? - Let's Find Out - Tfipost.com tfipost.com

The Molarity Of Pure Water Is: | Chemistry Questions

The molarity of pure water is: | Chemistry Questions www.toppr.com

Solved 1- A Container With (900 Grams) Of Water At Zero | Chegg.com

Solved 1- A container with (900 grams) of water at zero | Chegg.com www.chegg.com

⏩SOLVED:Calculate The Molarity Of Water If Its Density Is 1000 Kg

⏩SOLVED:Calculate the molarity of water if its density is 1000 kg www.numerade.com

SOLVED: Molar Mass Of Water = 18.02 G/mol Alculate The Percent Water In

SOLVED: molar mass of water = 18.02 g/mol alculate the percent water in www.numerade.com

Molarity Of 900 G Of Water Is Related: Calculating Molarity : Solutions

molarity of 900 g of water is Related: Calculating Molarity : Solutions edurev.in

Solved Calculate The Molarity Of Each Of The Following | Chegg.com

Solved Calculate the molarity of each of the following | Chegg.com www.chegg.com

WaterMolarity Of Pure Water Is 55.5 M. It Is Calculated As Below..pdf

WaterMolarity of pure water is 55.5 M. It is calculated as below..pdf www.slideshare.net

Online Mathematics And Chemistry Help: What Is The Molarity Of Pure

Online Mathematics and Chemistry Help: What is the molarity of pure mathematics-chemistry.blogspot.com

water molarity pure what mathematics chemistry help online

Free Online Help: What Is The Molarity Of Pure Water At 20 C?density

Free Online Help: What is the molarity of pure water at 20 C?density freeonlinehelpns.blogspot.com

water molarity pure what density table

The Molarity Of 900 Gm Of Water Is (1) 50 M (3) 5M (2) 55.5 M (4

The molarity of 900 gm of water is (1) 50 M (3) 5M (2) 55.5 M (4 www.toppr.com

WaterMolarity Of Pure Water Is 55.5 M. It Is Calculated As Below..pdf

WaterMolarity of pure water is 55.5 M. It is calculated as below..pdf www.slideshare.net

Solved What Is The Molarity Of 29 G N2O5 In 900 ML Of Water? | Chegg.com

Solved What is the molarity of 29 g N2O5 in 900 mL of water? | Chegg.com www.chegg.com

The Molarity Of 900 Gm Of Water Is (1) 50 M (3) 5M (2) 55.5 M (4

The molarity of 900 gm of water is (1) 50 M (3) 5M (2) 55.5 M (4 www.toppr.com

(3) + 82. Molarity Of 200 G Of Pure Water Is (1) 5.55 M (2) 16.6 M (3

(3) + 82. Molarity of 200 g of pure water is (1) 5.55 M (2) 16.6 M (3 www.toppr.com

Solved A) (6 Pts) Compute The Molarity Of Pure Water. That | Chegg.com

Solved a) (6 pts) Compute the molarity of pure water. That | Chegg.com www.chegg.com

Solved 39. What Is The Molar Solubility Of Mg(OH)2 In Water | Chegg.com

Solved 39. What is the molar solubility of Mg(OH)2 in water | Chegg.com www.chegg.com

Calculate The Molarity Of Pure Water If Its Density Is 1000g/centimeter

Calculate the molarity of pure water if its density is 1000g/centimeter www.meritnation.com

Calculate The Molarity Of Pure Water Using Its Density To Be 1000 Kg M^-3

Calculate the molarity of pure water using its density to be 1000 kg m^-3 www.toppr.com

Solved 19. Calculate The Molarity Of The Following | Chegg.com

Solved 19. Calculate the molarity of the following | Chegg.com www.chegg.com

Sir , what is the molarity of pure water if its density at room. The molarity of 900 gm of water is (1) 50 m (3) 5m (2) 55.5 m (4. Solved 39. what is the molar solubility of mg(oh)2 in water