Web Analytics Made Easy - Statcounter
what is m in m1v1 m2v2 Solved formulas

what is m in m1v1 m2v2 Solved formulas

Solved v_f = (m_1/(m_1+m_2)) * v_i v_1f = ((m_1

If you are searching about Solved Consider the equation M1V1 M2V2 where M represents | Chegg.com you've came to the right page. We have 35 Images about Solved Consider the equation M1V1 M2V2 where M represents | Chegg.com like M1 Vs M2 | PDF, Graphical depiction of M 1 , M 2 , M 1 and M 2 : | Download Scientific and also m1m2= (b) Find the minimum values of m1 and m2 such | Chegg.com. Read more:

Solved Consider The Equation M1V1 M2V2 Where M Represents | Chegg.com

Solved Consider the equation M1V1 M2V2 where M represents | Chegg.com www.chegg.com

solved represents consider transcribed

Solved V_f = (m_1/(m_1+m_2)) * V_i V_1f = ((m_1 - M_2)/(m_1 | Chegg.com

Solved V_f = (m_1/(m_1+m_2)) * V_i V_1f = ((m_1 - m_2)/(m_1 | Chegg.com www.chegg.com

Solved V2f=m1+m22m1v1iv1f=m1+m2m1−m2v1i What Do You Expect | Chegg.com

Solved v2f=m1+m22m1v1iv1f=m1+m2m1−m2v1i What do you expect | Chegg.com www.chegg.com

Use M1V1 = M2V2, Where M1, V1 Are The Initial Con.pdf

Use M1V1 = M2V2, where M1, V1 are the initial con.pdf www.slideshare.net

Solved M1v1+m2v2=m1v1+m2v2 Momentum Beforn =mnn. | Chegg.com

Solved m1v1+m2v2=m1v1+m2v2 momentum beforn =mnn. | Chegg.com www.chegg.com

MV=M1V1+M2V2 I Have To Use Is M Will Be The [H+] - Chemistry

MV=M1V1+M2V2 I Have to use is M will be the [H+] - Chemistry www.meritnation.com

Solved Is This Counted In M1 only, M2 only, M1 and M2, | Chegg.com

Solved Is this counted in M1 only, M2 only, M1 and M2, | Chegg.com www.chegg.com

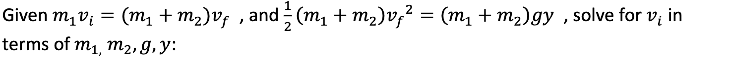
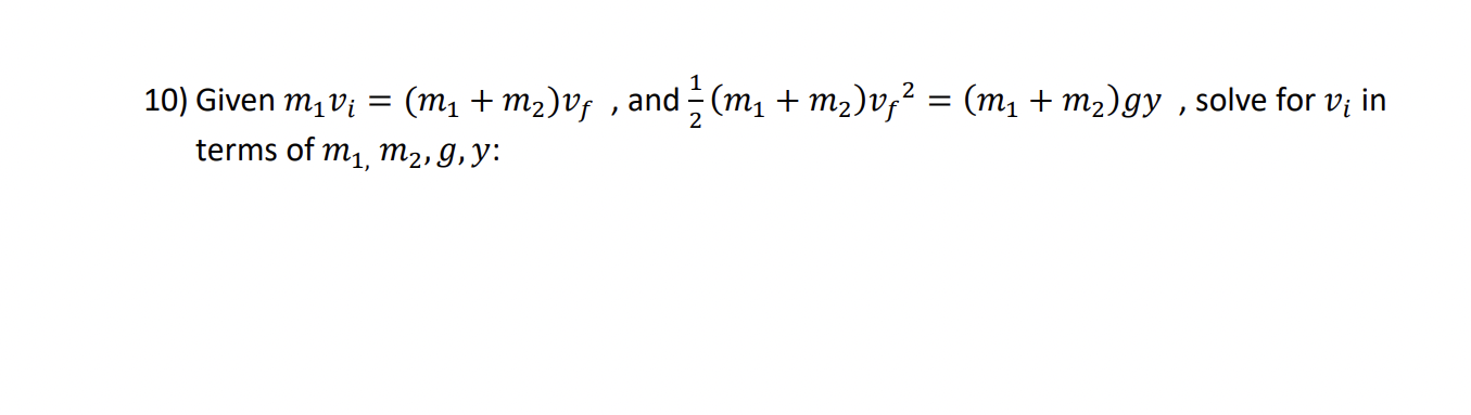
Solved 10) Given M1vi=(m1+m2)vf, And 21(m1+m2)vf2=(m1+m2)gy, | Chegg.com

Solved 10) Given m1vi=(m1+m2)vf, and 21(m1+m2)vf2=(m1+m2)gy, | Chegg.com www.chegg.com

Solved M1=m2=m1=1,10ln M/s2 | Chegg.com

Solved m1=m2=m1=1,10ln m/s2 | Chegg.com www.chegg.com

Solved M1v1=m2v2 V1=.001 Lm1v1=m2v2 VL=.01 L Ml=.002 G/mL→ | Chegg.com

Solved m1v1=m2v2 v1=.001 Lm1v1=m2v2 VL=.01 L ml=.002 g/mL→ | Chegg.com www.chegg.com

Solved Given M1vi=(m1+m2)vf, And 21(m1+m2)vf2=(m1+m2)gy, | Chegg.com

Solved Given m1vi=(m1+m2)vf, and 21(m1+m2)vf2=(m1+m2)gy, | Chegg.com www.chegg.com

Solved I Believe I'm Supposed To Use M1V1=M2V2 But I'm | Chegg.com

Solved I believe I'm supposed to use M1V1=M2V2 but I'm | Chegg.com www.chegg.com

M1 Vs M2 | PDF

M1 Vs M2 | PDF www.scribd.com

Solved Given M1vi=(m1+m2)vf, and 22(m1+m2)vf2=(m1+m2)gy, | Chegg.com

Solved Given m1vi=(m1+m2)vf, and 22(m1+m2)vf2=(m1+m2)gy, | Chegg.com www.chegg.com

Solved Given M1vi=(m1+m2)vf, and 12(m1+m2)vf2=(m1+m2)gy, | Chegg.com

Solved Given m1vi=(m1+m2)vf, and 12(m1+m2)vf2=(m1+m2)gy, | Chegg.com www.chegg.com

The Relation Between M 1 And M 2 | Download Scientific Diagram

The relation between M 1 and M 2 | Download Scientific Diagram www.researchgate.net

Measured Values Of M 2 And Calculated Values Of M 1 = 1 − M 2 At

Measured values of m 2 and calculated values of m 1 = 1 − m 2 at www.researchgate.net

MV=M1V1+M2V2 I Have To Use Is M Will Be The [H+] - Chemistry

MV=M1V1+M2V2 I Have to use is M will be the [H+] - Chemistry www.meritnation.com

M1V1 = M2V2, Calculator, Examples, Dilution Equation In Chemistry?

M1V1 = M2V2, Calculator, Examples, Dilution equation in chemistry? topblogtenz.com

SOLVED: 0.5 * M1 * V1i^2 + 0.5 * M2 * V2i^2 = 0.5 * M1 * V1f^2 + 0.5

SOLVED: 0.5 * m1 * v1i^2 + 0.5 * m2 * v2i^2 = 0.5 * m1 * v1f^2 + 0.5 www.numerade.com

The Relation Between M 1 And M 2 | Download Scientific Diagram

The relation between M 1 and M 2 | Download Scientific Diagram www.researchgate.net

V=mm1v1+⋯+mkvk Where M=m1+⋯+mk Determine How To | Chegg.com

v=mm1v1+⋯+mkvk where m=m1+⋯+mk Determine how to | Chegg.com www.chegg.com

Answered: M2V2 M1 Where M1 And Vi Are The Initial… | Bartleby

Answered: M2V2 M1 where M1 and Vi are the initial… | bartleby www.bartleby.com

m1 v2 initial where solution stock

Graphical Depiction Of M 1 , M 2 , M 1 And M 2 : | Download Scientific

Graphical depiction of M 1 , M 2 , M 1 and M 2 : | Download Scientific www.researchgate.net

Solved For M > 2, M M-1 Σ(8i + 7) = Σ (8i + | Chegg.com

Solved For m > 2, m m-1 Σ(8i + 7) = Σ (8i + | Chegg.com www.chegg.com

V'1 = M1 - M2/M1 + M2 V1 + 2M2/M1 + M2 V2 V'2 = | Chegg.com

V'1 = M1 - M2/M1 + M2 V1 + 2M2/M1 + M2 V2 V'2 = | Chegg.com www.chegg.com

m1 v1 2m2 transcribed 2m1

M1 Mm | Chegg.com

m1 mm | Chegg.com www.chegg.com

Solved Let M=M1M2, Where M1 And M2 Are Two 3×3 Distinct | Chegg.com

Solved Let M=M1M2, where M1 and M2 are two 3×3 distinct | Chegg.com www.chegg.com

M1V1 = M2V2, Calculator, Examples, Dilution Equation In Chemistry?

M1V1 = M2V2, Calculator, Examples, Dilution equation in chemistry? topblogtenz.com

M1m2= (b) Find The Minimum Values Of M1 And M2 Such | Chegg.com

m1m2= (b) Find the minimum values of m1 and m2 such | Chegg.com www.chegg.com

Solved V'_1 = (m_1 - M_2)/(m_1 + M_2) V'_01 + 2m_2v'_02/(m_1 | Chegg.com

Solved v'_1 = (m_1 - m_2)/(m_1 + m_2) v'_01 + 2m_2v'_02/(m_1 | Chegg.com www.chegg.com

Solved Formulas - V2f=m1+m22m1v1iV1f=m1+m2m1−m2v1i What Do | Chegg.com

Solved Formulas - v2f=m1+m22m1v1iV1f=m1+m2m1−m2v1i What do | Chegg.com www.chegg.com

Solved Determine The Value Of M That Makes The Matrices M1, | Chegg.com

Solved Determine the value of m that makes the matrices M1, | Chegg.com www.chegg.com

Solved What Is The Difference Between M1 and M2?Everything | Chegg.com

Solved What is the difference between M1 and M2?Everything | Chegg.com www.chegg.com

Measured Values Of M 2 And Calculated Values Of M 1 = 1 − M 2 At

Measured values of m 2 and calculated values of m 1 = 1 − m 2 at www.researchgate.net

Solved is this counted in m1 only, m2 only, m1 and m2,. Graphical depiction of m 1 , m 2 , m 1 and m 2 :. The relation between m 1 and m 2